沈阳星部落第四十一场线上活动
——镜中景

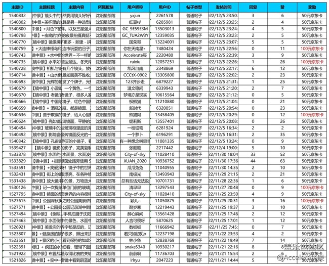
抽奖视频已发送社区管理员公证真实性
本期沈阳星部落线上活动将以【镜中景】为主题来拍摄作品参与评奖!!!
【活动形式】
本期为摄影活动。加入沈阳星部落的小伙伴,在此贴下方报名,报名留下姓名+联系方式。
(例如:张三+123456789)本贴回复已做隐藏
【活动要求】
1. 在沈阳星部落同城活动板块发布以【镜中景】+ 帖子名称
2. 帖子内容需以用三星设备拍摄,如发布图片需4张以上,如发布视频需10s以上,并简要说明。
3.图片、视频需原创且与主题贴合,不得盗图,如有违反取消获奖资格。
4.所有发布的图片需在原始信息中显示拍摄地址,如无拍摄地址信息或拍摄地址信息不在辽宁省范围内奖项顺延
【活动时间】
发帖时间:
2022年11月21日——2022年12月5日 23:59:59
帖子得分统计及公示整理:
10个工作日内
发奖:
活动结束后15-30个工作日
【活动奖励及规则】
1.参赛流程:先在本贴报名,报名后在沈阳星部落板块发布作品,发布完成后可以分享作品好友之间互相点赞评论呦~
2.活动结束提取所有符合要求的帖子:
所有发帖用户抽取:五位 奖励100元京东卡
所有发帖用户抽取(上面五位除外): 三十四位 奖励50元京东卡
3.发帖数量越多中奖几率越大,但每个ID仅可中奖一次。
- 参赛说明:
1、本次活动所有作品,请保证为发帖人原创,不得盗图。
2、请严格按照申请方式参赛,若版块或标题格式等不符合规则,则失去获奖资格。
3、所有作品请保留原文件,管理员有权验证源文件的真实性,若无法提供原文件,视为无效。
- 违规说明:
存在以下问题的参与活动作品,将被取消参与活动资格:
1.含有与中华人民共和国法律法规相抵触的内容;
2.含有色 情、暴力、血腥,反 动思想等不良内容;
3.涉嫌临摹、剽窃、侵犯他人著作权。
4,活动内容产生的数据无违规行为(刷票)。
- 版权说明:
用户作品必须为原创作品,且用户本人拥有该作品之完整著作权,
若有第三者对作品提出异议,并经主办单位查明属实者,
主办单位将取消资格获奖资格,
并且其违反著作权之法律责任由用户本人自行负责,与本平台无关。
- 版权使用:
1,本次活动所有成功上传后的作品,版权归三星盖乐世社区所有,
社区有权使用其中的任一作品,参加活动即代表参与者默认同意本项规定。
2.作品及相关资料用于此次活动相关宣传使用,并用于指定及授权媒体发布;
3.一旦选择参加活动,视为整个作品参加活动。
注:
1.为防止刷票行为,发现以下情况,将会取消参赛资格:
a.短时间内(1分钟)如发现5个连续或者相近ID对同一作品进行点赞将取消参赛资格
b.管理员或酋长会对点赞ID进行抽查、筛查,如检查到点赞ID未在社区发布过帖子、评论、签到等行为,且此类ID占比30%或以上的,管理员评估后,视情况决定是否保留参赛资格 (Ex:10个票当中3个以上是不活跃的ID来点赞的情况)
c.活动结束后,在后台发现刷票证据(短时间内突然增加点赞数量等行为)的情况,管理员评估后,视情况决定是否保留参赛资格
2. 本活动对发帖板块位置及标题有要求,发错或写错将无法获取奖励
3. 发布图片需要于主题相呼应,水贴,刷帖等行为将取消获奖资格,管理员或酋长有权对水贴以及毫无意义的帖子进行删帖隐藏等处理。参与活动且获奖的帖子非特殊情况不得删除,如有故意删除情况社区所有活动禁止参与。
4. 拍摄图片的设备必须为三星设备,管理员或酋长将抽查部分用户的图片,如无法提供原图或原图信息中查看不是三星设备信息,将取消获奖资格
5. 奖品发放可能以密钥形式由部落酋长发放,可能会在奖项公布后获奖者需添加酋长微信领取。每个微信只可领取一个获奖ID。
6. 严禁在回复中发布QQ群、广告等违法违规信息,取消获奖资格并视情节予以处罚
7. 发奖时间为活动结束后15-30个工作日,获奖伙伴还请耐心等待。


